-
프로그래머스 코딩테스트 연습 - 가장 먼 노드 (다익스트라, 플로이드-와샬, DFS) 본문
# 주소
https://school.programmers.co.kr/learn/courses/30/lessons/49189
프로그래머스
코드 중심의 개발자 채용. 스택 기반의 포지션 매칭. 프로그래머스의 개발자 맞춤형 프로필을 등록하고, 나와 기술 궁합이 잘 맞는 기업들을 매칭 받으세요.
programmers.co.kr
# 문제
문제 설명
n개의 노드가 있는 그래프가 있습니다. 각 노드는 1부터 n까지 번호가 적혀있습니다. 1번 노드에서 가장 멀리 떨어진 노드의 갯수를 구하려고 합니다. 가장 멀리 떨어진 노드란 최단경로로 이동했을 때 간선의 개수가 가장 많은 노드들을 의미합니다.
노드의 개수 n, 간선에 대한 정보가 담긴 2차원 배열 vertex가 매개변수로 주어질 때, 1번 노드로부터 가장 멀리 떨어진 노드가 몇 개인지를 return 하도록 solution 함수를 작성해주세요.
제한사항- 노드의 개수 n은 2 이상 20,000 이하입니다.
- 간선은 양방향이며 총 1개 이상 50,000개 이하의 간선이 있습니다.
- vertex 배열 각 행 [a, b]는 a번 노드와 b번 노드 사이에 간선이 있다는 의미입니다.
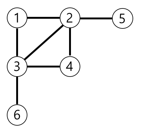
| 6 | [[3, 6], [4, 3], [3, 2], [1, 3], [1, 2], [2, 4], [5, 2]] | 3 |
예제의 그래프를 표현하면 아래 그림과 같고, 1번 노드에서 가장 멀리 떨어진 노드는 4,5,6번 노드입니다.

# 문제 해설 및 코드 리뷰
* 기존 코드 *
import java.util.*;
class Solution {
public int solution(int n, int[][] edge) {
int[][] arr = new int[n + 1][n + 1];
for (int i = 0; i <= n; i++){
Arrays.fill(arr[i], 20000);
arr[i][i] = 0;
}
for(int i = 0; i < edge.length; i++){
int a = edge[i][0];
int b = edge[i][1];
arr[a][b] = arr[b][a] = 1;
}
for(int i = 1; i <= n; i++){
for(int j = 1; j <= n; j++){
for(int k = 1; k <= n; k++){
arr[j][k] = Math.min(arr[j][k], arr[j][i] + arr[i][k]);
}
}
}
int answer = -1;
int count = 0;
for(int i = 2; i <= n; i++){
if(answer < arr[1][i]){
count = 0;
answer = arr[1][i];
}else if(answer == arr[1][i]){
count++;
}
}
return count + 1;
}
}
이 문제를 플로이드-와샬 문제로 접근하면 틀리게 됩니다.
1 ~ 7번 테스트 케이스는 모두 정답이라고 뜨는데 8 ~ 10번 테스트 케이스는 시간초과가 다른 풀이를 찾아야 했습니다.
그렇기에
class Solution{
static boolean[][] visit;
static boolean[] check;
static Queue<Integer> queue = new LinkedList<>();
public int solution(int n, int[][] edge){
int answer = 0;
visit = new boolean[n + 1][n + 1];
check = new boolean[n + 1];
for(int i = 0; i < edge.length; i++){
visit[edge[i][0]][edge[i][1]] = true;
visit[edge[i][1]][edge[i][0]] = true;
}
queue.offer(1);
check[1] = true;
answer = dfs(n);
return answer;
}
static int dfs(int n){
int count = 0;
while(!queue.isEmpty()){
int size = queue.size();
for(int i = 0; i < size; i++){
int now = queue.poll();
for(int j = 1; j <= n; j++){
if(visit[j][now] && !check[j]){
check[j] = true;
queue.offer(j);
}
}
}
count = size;
}
return count;
}
}
DFS 방법으로 한 번 풀이를 살펴보겠습니다.
풀이를 하기 전, 어떻게 접근했는지 정리하겠습니다.
1. 2차원 배열의 boolean타입(int도 가능)과 1차원의 boolean[]타입으로 인덱스 체크
2. Queue를 이용하여 사이즈 갱신
3. 간선간의 값은 모두 1이므로 true, false로 조절하고 매번 queue의 크기를 갱신 반복
직접 코드를 보며 살펴보겠습니다.
int answer = 0;
visit = new boolean[n + 1][n + 1];
check = new boolean[n + 1];
visit은 2차원, check는 1차원으로 각각 n + 1크기의 크기로 선언합니다.
이유는 이 배열에 들어갈 데이터들은 1 ~ n 까지이기 때문입니다.
이후
for(int i = 0; i < edge.length; i++){
visit[edge[i][0]][edge[i][1]] = true;
visit[edge[i][1]][edge[i][0]] = true;
}
for문을 이용하여 visit[첫번째][두번째] = visit[두번째][첫번째] = true로 초기화합니다.
queue.offer(1);
check[1] = true;
answer = dfs(n);
queue에 1을 넣고 check[1] = true를 넣어줍니다.
queue에 1을 넣는 이유는 1에서 부터 시작할 것이기 때문에 먼저 할당을 해주는 것이며 재방문을 피하기 위해 check[1] = true가 되어야 합니다.
dfs는 어떻게 생겼는지 살펴보겠습니다.
static int dfs(int n){
int count = 0;
while(!queue.isEmpty()){
int size = queue.size();
for(int i = 0; i < size; i++){
int now = queue.poll();
for(int j = 1; j <= n; j++){
if(visit[j][now] && !check[j]){
check[j] = true;
queue.offer(j);
}
}
}
count = size;
}
return count;
}
이렇게 생겼습니다. 간단하죠?
count = 0으로 일단 두겠습니다.
이 count는 queue의 크기를 받아올 것인데 나중에 다시 보겠습니다.
while(!queue.isEmpty()){
int size = queue.size();
for(int i = 0; i < size; i++){
int now = queue.poll();
while문을 이용하여 queue가 비는 것을 방지하고, size에는 queue의 size를 받아옵니다.
이후 size크기 동안 queue의 첫 번째 요소를 now로 받아올텐데요.
최초에 1을 담았으니 1을 담습니다.
for(int j = 1; j <= n; j++){
if(visit[j][now] && !check[j]){
check[j] = true;
queue.offer(j);
}
}
그러고 나면 다시 for문을 이용하여 1 부터 n까지 탐색을 할 것입니다.
만약 visit[j][now]가, 그러니까 queue에서 담아온 1고 연결된 visit[i]들 중에서 !check[j]인 것.
방문하지 않은 j요소를 찾습니다.
이 때에는 n번의 시간 복잡도를 가지게 됩니다.
만약 방문하지 않았고 1과 연결되어 있다면 1고 이웃한 인덱스 이므로 해당 인덱스를 true로 바꾸고
queue에 삽입합니다.
만약 1과 연결된 인덱스가 2개 있었다면 queue에는 총 2개가 담기게 되고 for문을 마치고 빠져나옵니다.
이후 count = size로 갱신합니다.
}
count = size;
}
return count;
}
생각해보면 간단한데, 가장 멀리 있는 인덱스라면 당연히 count가 새로 갱신되고 갱신되어 마지막에 갱신되는 인덱스의 거리일 때 count가 가장 먼 노드와의 거리일 것입니다.
따라서 size라는 queue의 크기를 앞전에 선언했던 것은 for문을 돌리기 위해서 인 것도 있지만 이 size를 count에 다시 갱신하여 return하여 정답을 출력하면 인정이 되는 것을 확인할 수 있습니다.
플로이드-와샬을 지난 시간에 써봤어서 한 번 더 활용해보려 했는데 시간 초과가 나네요..
다익스트라로는 아직 시도를 안해봤는데 해보고 만약 정답이 되면 여기에 추가 코드로 남기겠습니다.
감사합니다.
'프로그래머스 문제 풀이' 카테고리의 다른 글
| 프로그래머스 코딩테스트 연습 - 블록 이동하기 (BFS, 카카오 채용) (0) | 2022.07.29 |
|---|---|
| 프로그래머스 코딩테스트 연습 - 양과 늑대 (DFS, 이진 탐색 트리) (0) | 2022.07.22 |
| 프로그래머스 코딩테스트 연습 - 합승 택시 요금 (플로이드-와샬, 다익스트라) (0) | 2022.07.18 |
| 프로그래머스 코딩테스트 연습 - 기둥과 보 설치 (구현) (0) | 2022.07.16 |
| 프로그래머스 코딩테스트 연습 - 불량 사용자 (백트래킹, 정규식) (0) | 2022.07.12 |