-
프로그래머스 코딩테스트 연습 - 배달 (DFS, 플로이드-와샬, 다익스트라) 본문
# 주소
https://school.programmers.co.kr/learn/courses/30/lessons/12978#qna
프로그래머스
코드 중심의 개발자 채용. 스택 기반의 포지션 매칭. 프로그래머스의 개발자 맞춤형 프로필을 등록하고, 나와 기술 궁합이 잘 맞는 기업들을 매칭 받으세요.
programmers.co.kr
# 문제
문제 설명
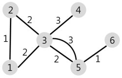
N개의 마을로 이루어진 나라가 있습니다. 이 나라의 각 마을에는 1부터 N까지의 번호가 각각 하나씩 부여되어 있습니다. 각 마을은 양방향으로 통행할 수 있는 도로로 연결되어 있는데, 서로 다른 마을 간에 이동할 때는 이 도로를 지나야 합니다. 도로를 지날 때 걸리는 시간은 도로별로 다릅니다. 현재 1번 마을에 있는 음식점에서 각 마을로 음식 배달을 하려고 합니다. 각 마을로부터 음식 주문을 받으려고 하는데, N개의 마을 중에서 K 시간 이하로 배달이 가능한 마을에서만 주문을 받으려고 합니다. 다음은 N = 5, K = 3인 경우의 예시입니다.

위 그림에서 1번 마을에 있는 음식점은 [1, 2, 4, 5] 번 마을까지는 3 이하의 시간에 배달할 수 있습니다. 그러나 3번 마을까지는 3시간 이내로 배달할 수 있는 경로가 없으므로 3번 마을에서는 주문을 받지 않습니다. 따라서 1번 마을에 있는 음식점이 배달 주문을 받을 수 있는 마을은 4개가 됩니다.
마을의 개수 N, 각 마을을 연결하는 도로의 정보 road, 음식 배달이 가능한 시간 K가 매개변수로 주어질 때, 음식 주문을 받을 수 있는 마을의 개수를 return 하도록 solution 함수를 완성해주세요.
- 마을의 개수 N은 1 이상 50 이하의 자연수입니다.
 - road의 길이(도로 정보의 개수)는 1 이상 2,000 이하입니다.
 - road의 각 원소는 마을을 연결하고 있는 각 도로의 정보를 나타냅니다.
 - road는 길이가 3인 배열이며, 순서대로 (a, b, c)를 나타냅니다.
- a, b(1 ≤ a, b ≤ N, a != b)는 도로가 연결하는 두 마을의 번호이며, c(1 ≤ c ≤ 10,000, c는 자연수)는 도로를 지나는데 걸리는 시간입니다.
 - 두 마을 a, b를 연결하는 도로는 여러 개가 있을 수 있습니다.
 - 한 도로의 정보가 여러 번 중복해서 주어지지 않습니다.
 
 - K는 음식 배달이 가능한 시간을 나타내며, 1 이상 500,000 이하입니다.
 - 임의의 두 마을간에 항상 이동 가능한 경로가 존재합니다.
 - 1번 마을에 있는 음식점이 K 이하의 시간에 배달이 가능한 마을의 개수를 return 하면 됩니다.
 
입출력 예NroadKresult
| 5 | [[1,2,1],[2,3,3],[5,2,2],[1,4,2],[5,3,1],[5,4,2]] | 3 | 4 | 
| 6 | [[1,2,1],[1,3,2],[2,3,2],[3,4,3],[3,5,2],[3,5,3],[5,6,1]] | 4 | 4 | 
입출력 예 #1
문제의 예시와 같습니다.
입출력 예 #2
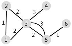
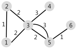
주어진 마을과 도로의 모양은 아래 그림과 같습니다.

1번 마을에서 배달에 4시간 이하가 걸리는 마을은 [1, 2, 3, 5] 4개이므로 4를 return 합니다.
# 문제 해설 및 코드 리뷰
DFS 풀이와 플로이드-와샬 풀이가 있습니다.
DFS풀이는 32번 테스트 케이스가 시간 초과가 나기 때문에 이 방법으로 해결을 하신다면 댓글 달아주시면 감사하겠습니다.
class Solution {
    static int[][] arr;
    static boolean[] visit;
    static int answer;
    static boolean isOk;
    public int solution(int N, int[][] road, int K) {
        answer = 1;
        arr = new int[N][N];
        visit = new boolean[N];
        for (int[] ints : road) {
            int x = ints[0] - 1;
            int y = ints[1] - 1;
            int z = ints[2];
            if(arr[x][y] > 0 && z >= arr[x][y] || z > K)
                continue;
            arr[x][y] = arr[y][x] = z;
        }
        for(int i = 1; i < N; i++){
            visit = new boolean[N];
            visit[0] = true;
            isOk = false;
            dfs(0, i, 0, N, K);
            if(isOk)
                answer++;
        }
        return answer;
    }
    static void dfs(int start, int end, int sum, int N, int K){
        if(sum > K)
            return;
        if(start == end){
            isOk = true;
            return;
        }
        for(int i = 0; i < N; i++){
            if(!visit[i] && arr[start][i] > 0 && start != i && !isOk){
                visit[i] = true;
                dfs(i, end, sum + arr[start][i], N, K);
                visit[i] = false;
            }
        }
    }
}
다른 케이스는 무사 통관데 32번 케이스만 시간 초과납니다.
아마 시간 비용이 50만까지인데 이를 저격하는 데이터가 있지 않을까 싶습니다.
플로이드-와샬 풀이를 공개합니다.
class Solution{
    public int solution(int N, int[][] road, int K){
        int[][] arr = new int[N][N];
        for(int i = 0; i < arr.length; i++){
            for(int j = 0; j < arr.length; j++){
                if(i == j){
                    arr[i][j] = 0;
                    continue;
                }
                arr[i][j] = 500000;
            }
        }
        for(int i = 0; i < road.length; i++){
            if(arr[road[i][0] - 1][road[i][1] - 1] < road[i][2])
                continue;
            arr[road[i][0] - 1][road[i][1] - 1] = road[i][2];
            arr[road[i][1] - 1][road[i][0] - 1] = road[i][2];
        }
        for(int k = 0; k < N; k++){
            for(int i = 0; i < N; i++){
                for(int j = 0; j < N; j++){
                    if(i == j)
                        continue;
                    if(arr[i][j] > arr[i][k] + arr[k][j])
                        arr[i][j] = arr[i][k] + arr[k][j];
                }
            }
        }
        int sum = 0;
        for(int i = 0; i < arr[0].length; i++){
            if(arr[0][i] <= K)
               sum++;
        }
        return sum;
    }
}
훨씬 더 간단하지요.
앞에서 제 블로그에서도 소개를 많이 드렸습니다.
처음 초기값을 50만으로 둔건 단순히 비용이 50만이 최대이기 때문에 그렇습니다.
감사합니다.
'프로그래머스 문제 풀이' 카테고리의 다른 글
| 프로그래머스 코딩테스트 연습 - k진수에서 소수 개수 구하기(2022 카카오 블라인드 채용 5번 문제) (2) | 2022.09.05 | 
|---|---|
| 프로그래머스 코딩테스트 연습 - [3차] 압축 (2018 카카오 블라인드) (0) | 2022.08.27 | 
| 프로그래머스 코딩테스트 연습 - [1차] 뉴스 클러스터링 (0) | 2022.08.08 | 
| 프로그래머스 코딩테스트 연습 - 거리두기 확인하기 (BFS) (0) | 2022.08.05 | 
| 프로그래머스 코딩테스트 연습 - 블록 이동하기 (BFS, 카카오 채용) (0) | 2022.07.29 |